本建筑设计院-北京公寓建筑消防改造设计案例
发布时间:2019-09-24 来源:建筑设计院 设计院 浏览:次
2019年9月,公司承接北京某公寓改造项目,该项目抗震设防烈度:八度;结构形式:现浇钢筋混凝土框架结构;设计内容:租区内消防部分建筑设计及相关消防设施设计;建筑总高度12.0M,建筑耐火等级:二级;标准层层高3.6米、净高度2.4米、总建筑面积:2667.89平方米、总体积为11284.74立方米,使用性质为酒店;本建筑为多层公共建筑,耐火等级为二级。结构形式为钢筋混凝土框架结构。
设计方案分享:

室内消防系统改造,包括室内消火栓系统、自动喷水灭火系统、建筑灭火器配置系统。
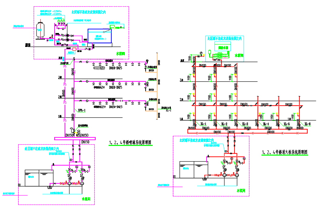
室外消火栓用水量:25L/s,室内消火栓用水量:15L/s,自动喷水系统用水量:20L/s。室内、外消火栓火灾延续时间:2h,自动喷水系统火灾延续时间:1h。
室内消火栓给水设两路进水管接自原消防泵房;室内消火栓管道在室内构成环状管网,消火栓系统工作压力0.60MPa。由一层环状消火栓管网引出两路DN150消火栓干管接入室内环状消火栓给水系统。

本改造项目均为多层公寓建筑高度均小于24m,按中危险Ⅰ级设自动喷水灭火系统,设计喷水强度6L/min.m2 ,作用面积160m2 ,一次灭火用水量25.0L/s。系统工作压力为0.40Mpa,自动喷水灭火系统最不利点处喷头工作压力不低于0.05MPa。
喷头间距不大于3.600m且不小于1.800m , 喷头与端墙的最大距离为1.800m。喷头溅水盘与顶板的距离为150mm。
消火栓、喷淋系统图:

消火栓布置图喷:

淋布置图:

上一篇: 本建筑设计院-安徽某道路设计案例
下一篇: 本建筑设计院-商业幕墙设计案例


18782111161
18782111161
226695569


















